The Key to Depression, Inflammation, Obesity and more. The Comprehensive Guide to Vagus Nerve Stimulation (VNS)
Explore the diverse world of Vagus Nerve Stimulation (VNS), it's wide ranging applications, across conditions such as chronic Fatigue, fibromyalgia, depression, POTS, anxiety, stress, long-covid, dysautonomia, autoimmune conditions, alzheimer's, and more. Additionally, explore how VNS can benefit even healthy individuals, promoting better sleep, improved stress resilience, enhanced heart rate variability, and cognitive enhancement. Discover how the stimulation of this "bioelectrical highway" can transform the way you manage a variety of medical challenges.
What is Vagus Nerve Simulation

To delve into VNS, let's begin with an exploration of the vagus nerve. Often referred to as the "wandering nerve," it is the longest and the most complex cranial nerve, running from your brain to your large intestine. Cranial nerves, emerging from the brain, are vital conduits responsible for various sensory and motor functions in the head and neck.
Situated at the core of the network in the autonomic nervous system, the vagus nerve comprises motor (efferent) fibres, transmitting neural signals from the brain to the body, and sensory (afferent) fibres, conveying internal (visceral) and external (somatic) sensory information from peripheral nervous system to the central nervous system, which includes the brain and spinal cord. The peripheral nervous system represents the external areas responsible for transmitting sensory signals to the central nervous system for processing and reaction.
The Autonomic Nervous System (ANS) is a body's automatic control centre, which you don’t have to think about. It oversees two parts that balance each other, the sympathetic and parasympathetic branches.
Sympathetic Nervous System (SNS):
- Often referred to as the "fight or flight" system.
- Activates in response to stress, danger, or excitement.
- Increases heart rate, dilates pupils, and redirects blood flow to muscles, preparing the body for action.
- Releases stress hormones such as adrenaline and noradrenaline.
Parasympathetic Nervous System (PNS):
- Often termed the "rest and digest" system
- Dominates during periods of relaxation and recovery.
- Slows heart rate, constricts pupils, and promotes digestion and nutrient absorption.
- Supports functions associated with rest, relaxation, and recovery.
The vagus nerve acts as a powerful catalyst for the parasympathetic rest-and-digest system. Its influence extends far and wide to the majority of vital functions such as cardiovascular activity, respiration, and gastrointestinal processes. Its proper function is crucial for maintaining optimal bodily performance. However, as we age, we may experience a decline in vagus nerve functioning due to sympathetic overactivity.
Parasympathetic nervous system activation
The parasympathetic nervous system, as the primary part of the autonomic nervous system, promotes rest and digest functions, aiding in relaxation and recovery within the body. The parasympathetic branch is intricately connected to neurons associated with the origin of vagal neurons.
Consequently activation of the parasympathetic nervous system, which is largely facilitated by the vagus nerve, leads to a slower heart rate, increased digestion with release of helpful enzymes, a relaxed state, narrower pupils, improved work of air passage (bronchial) muscles, and improved movement in the digestive system. Adjusting these bodily functions helps maintain a balanced response in the autonomic nervous system.
How Does Vagus Nerve Stimulation Work
Vagus nerve stimulation involves artificially activating the vagus nerve, most commonly by electrical means. Many people think about the vagus nerve as a straight linear nerve connecting the brain to major organs resulting applying mild electrical micro impulses is a therapy that activates the parasympathetic nervous system by electrically boosting the activity of the vagus nerve. This is achieved by applying mild electrical micro impulses, running through the wandering nerve.
Therefore, VNS regulates operations in both visceral areas (such as the heart, lungs, and gastrointestinal system) and somatic regions (including soft tissues, the muscles of the palate, and the throat). It is like a communication line that helps these organs work together smoothly without even thinking about it.
Why Vagus Nerve Stimulation Matters
Over 15 years of investigation has exposed a compelling connection between autonomic dysfunction and the inadequacy of vagus nerve activity, identified through a slow recovery of heart rate and low heart rate variability. The presence of chronic diseases, such as cardiovascular diseases or diabetes and ageing can influence reduced nervous system activity in the parasympathetic branch. Dysautonomia is a condition when the autonomic nervous system becomes imbalanced or dysregulated. It can result from an imbalance between the sympathetic and parasympathetic branches, with hyperactivity in the sympathetic division.
When dysautonomia happens it creates miscommunication with the nervous system and the signals get mixed up, and the human body may not function as smoothly as it should. This imbalance may disrupt the body's ability to regulate essential functions and cause chronic deterioration.
The impact of decreased vagal signalling can lead to increased inflammation and metabolic complications, contributing to the development of type 2 diabetes and a variety of other symptoms such as Chronic Fatigue Syndrome, Postural Orthostatic Tachycardia Syndrome (POTS), Fibromyalgia, Depression, Anxiety, Gastrointestinal problems, Tinnitus. This underscores the far-reaching impact of compromised vagus nerve function on various aspects of physical and mental well-being.
Vagus nerve stimulation helps to restore a more synchronised flow of signals to support the body in finding its natural rhythm again. Through the stimulation of the vagus nerve, modern medicine can efficiently alleviate the symptoms of conditions such as chronic fatigue, depression, inflammation, heart rate and more, all achieved without the need for medication.
Key Features of Vagus Nerve Stimulation Devices
Types of the stimulation
Invasive Approach
Invasive Vagus Nerve Stimulation (VNS) devices involve the surgical implantation of a programmable pulse generator. This technique required invasive surgery performed under general anaesthesia where the patient is rendered unconscious and unresponsive to pain. Additionally, it is essential to note that this invasive approach, aside from being associated with potential risks and complications, was often expensive, limiting its accessibility to regular patients. As a result, it was primarily utilised in the context of treating severe cases of refractory epilepsy and drug-resistant depression.
The VNS device is typically placed under the skin in the upper left chest or left axillary border. An electrode lead is then wrapped around the left mid-cervical vagus nerve through a separate incision in the left neck area. The stimulation settings of the pulse generator can be adjusted using a handheld computer.
Invasive VNS can cause side effects. These may include voice alterations, cough, dyspnea, dysphagia, neck pain, or paraesthesia. Possible complications also encompass wound infection and, in rare cases, temporary or permanent left vocal cord paralysis.
Non-Invasive Approach
Currently, advancements in non-invasive techniques enable vagus nerve stimulation without the need for expensive (10,000$) and risky surgery, making this therapy more accessible and safer. Anatomical investigations have firmly confirmed that the left ear area is rich in vagus nerve connections rendering implantable devices unnecessary.


The Nurosym™: Pioneering Non-Invasive
In this context, Parasym has spearheaded the introduction of Nurosym, an innovative non-invasive proprietary neuromodulation system. The technique pioneered by Nurosym is known as transcutaneous auricular vagus nerve stimulation (tVNS). Nurosym handheld, portable vagus nerve stimulation device sends precise patented microcurrent electrical impulses via the tragus of the left ear. These impulses travel via the vagus nerve to the brain stem, where they activate the parasympathetic nervous system. Parasympathetic activation leads to decreased inflammation, reduced perceived stress/anxiety, improved sleep etc.
Nurosym users can easily regulate the intensity and duration of the stimulation, ensuring a safe and effective therapeutic experience. Nurosym device can be used once or twice a day for 30-60 mins a day in the morning and/or evening. Individuals can engage in their usual activities during therapy sessions, making this technology easy to use and integrate within daily routines. This makes it a valuable tool for addressing various medical conditions without medication or surgery, offering a promising alternative to traditional VNS methods.
The Nurosym technology is a clinically-validated CE-certified device that has received multiple designations of non-significant risk from the FDA in the US, affirming its safety and effectiveness. Nurosym’s vagus nerve stimulation device is indicated for alleviation of symptoms of depression, anxiety, insomnia and pain.
Further clinical trials using Nurosym technology have been conducted demonstrating promising results in other indications such as long-covid, POTS, autoimmune and cardiovascular diseases, all of which are associated with dysautonomia, Ongoing research suggests more possibilities for using Nurosym technology in treating various medical conditions.
Health Conditions Addressed by Vagus Nerve Stimulation
tVNS is typically used to treat certain medical conditions, such as epilepsy and depression, and it is sometimes being explored for its potential benefits in other conditions like chronic pain, anxiety disorders, and even certain inflammatory conditions.
Vagus Nerve Stimulation for Stress and Heart Rate Variability
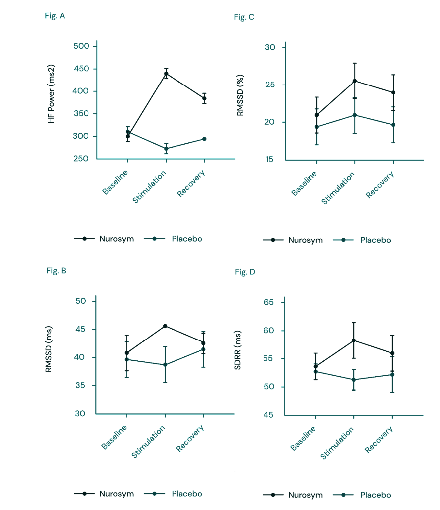
Heart Rate Variability (HRV) is a valuable measure that reflects the balance between sympathetic and parasympathetic branches activity. Ageing is often associated with a reduction in overall HRV and the parasympathetic nervous system, which is associated with rest and recovery, tends to decline with age. Parasym’s Vagus Nerve Stimulation Device, Nurosym, increases Heart Rate Variability, regulating the interplay between sympathetic fight-or-flight and parasympathetic rest-and-digest activities. Nurosym stimulation provides a hassle-free way for heart and vascular care, without activating the sympathetic system (Figure 1, Geng et al. 2022 Plos One). The ratio of LF to HF power can be used as an index of the balance of sympathetic and parasympathetic activity (Figure 2, Geng et al. 2022).


Vagus Nerve Stimulation for Chronic Fatigue, Brain Fog and Depression
The vagus nerve is a vital part of the microbiota-gut-brain axis, facilitating signals between the gut and the brain. This axis acts as a communication highway connecting neurocognitive pathways. A reduced vagal tone, possibly influenced by disruptions in this pathway, can lead to conditions like depression, fatigue, and brain fog. Factors such as diet, stress, and antibiotic use can influence the composition of the gut microbiota, affecting signalling along the vagus nerve and contributing to neurotransmitter imbalances and impacts on mood and mental health.
Individuals experiencing depression commonly report persistent feelings of exhaustion and low energy levels, which can contribute to an overwhelming sense of fatigue. Conversely, chronic fatigue can lead to a heightened risk of developing or exacerbating symptoms of depression.
The study found that after ten days of Nurosym taVNS therapy, participants experienced improvement including a decrease in fatigue (about 48% on the Pitchot Fatigue Scale) and improved mood (around 45% on the Beck Depression Score). The primary finding highlights a significant remission of debilitating symptom intensity including brain fog, fatigue and depression in all 20 patients included in the study (Figure 3, Verbanck et al. 2021).

Vagus Nerve Stimulation for Postural Orthostatic Tachycardia Syndrome (POTS syndrome)
Postural Tachycardia Syndrome (POTS) is a type of autonomic nervous system disorder characterised by a rapid heart rate that occurs upon standing up. The study revealed that individuals who underwent Nurosym tVNS experienced a significantly lower increase in heart rate upon standing compared to the control group (18±10 beats per minute vs. 32±14 beats per minute, respectively, p=0.016). (Figure 4, Stavrakis et al. 2023).

Following one hour of active Nurosym taVNS, the patient with heart failure exhibited a favourable 19% decrease in heart muscle deformation, specifically Global Longitudinal Strain. This indicates an improved cardiac function in response to the treatment (Figure 5, Tran et al. 2019).

The vagus nerve also communicates with peripheral pathways for cardiovascular, autonomic, and inflammatory functions. The Nurosym device can slow down the heart rate and reduce blood pressure, improve blood circulation promoting relaxation and a state of rest. The results of tVNS therapy suggesting improvement on blood circulation and reducing inflammation (Figure 6, Tarun et al. 2020).

Vagus Nerve Stimulation for Inflammation, Ageing and Longevity
The vagus nerve acts as a central communicator in a system that regulates inflammation in the body. It works like a two-way communication network: the vagus nerve receives signals from substances related to the body's defence or inflammation, and in turn, it controls the production of inflammatory substances.
After undergoing Nurosym vagus nerve stimulation, individuals with existing inflammation saw significant improvements in markers of inflammation, especially with an impressive ~78% reduction in IL-8 (Figure 7 Stavrakis et al. 2022). Nurosym device by activating the cholinergic pathway within the vagus nerve has the potential to reduce inflammation, contributing to reducing chronic and autoimmune diseases like arthritis, diabetes, and inflammatory bowel diseases. Additionally, this process may have the potential to reduce the ageing process and cell damage by mitigating oxidative stress.

Figure 7. In a three-month study using the Nurosym device for heart failure patients, significant improvements were seen in inflammatory biomarkers. The study focused on participants with elevated baseline inflammation levels. Parasym tVNS resulted in improved left ventricular strain and a notable 61.3% reduction in inflammatory biomarkers, especially IL-8 (Stavrakis et al. 2022).
Vagus Nerve Stimulation for Sleep & Insomnia
Decreased serotonin levels impact nerve connections, including the vagus nerve, affecting important brain areas like the hippocampus and causing sleep issues. The patients with Long-Covid using active neuromodulation demonstrated approximately a 19% improvement in overall sleep scores, particularly in achieving deep sleep after 4 weeks of therapy. tVNS Patients experienced the transformation and benefits of a restful night's sleep. (Figure 8, Zheng et al. 2024)

Vagus Nerve Stimulation for Cancer
According to the research findings on the effects of tVNS on cancer prognosis, it has been observed that Nurosym tVNS has the potential to improve the body's ability to fight tumours. It has shown promise in reducing the presence of Myeloid-Derived Suppressor Cells (MDSC), which are known to support tumour growth. Nurosym tVNS, in the clinical trial involving non-small cell lung cancer patients, increases cell levels such as dendritic cells, natural killer cells, and CD8+ T cells, which are associated with anti-tumor immunity, while decreasing harmful MDSC populations. Other study emphasis increases growth of beneficial NK and dendritic cells (DCs) (Figure 9, Reijmen et al. 2020).

Vagus Nerve Stimulation for Psychological Trauma
The vagus nerve is vital in stress-related psychiatric issues like PTSD, anxiety and loss of memory. Dysregulation of the hypothalamic–pituitary–adrenal (HPA) axis, norepinephrine, sympathetic function, and inflammatory function is associated with these disorders. The vagus nerve, modulating circuits and systems related to stress response, offers potential intervention targets neuronal pathways.
Stimulating the vagus nerve activates the Nucleus Tractus Solitarius (NTS) in the brainstem. These regions, in turn, send signals to various brain areas involved in regulating emotions, fear, memory, and neuroplasticity, including the anterior cingulate, hippocampus, amygdala, and cortex.
The Nurosym research delves into memory and neuroplasticity improvement. The parasympathetic nervous system is associated with better cognitive function, while the sympathetic nervous system is linked to cognitive decline. Participants who received active vagus nerve stimulation showed a significant ~26% improvement in their performance on all test questions, with a remarkable ~32% boost specifically in answering memory-based questions (Figure 9, Thakkar et al. 2022).

Vagus Nerve Stimulation for Obesity & Metabolism
The vagus nerve plays a big role in controlling eating habits and metabolic balance. Disrupting this mechanism can potentially contribute to weight gain and make weight loss more difficult. Research suggests a connection between lower vagal activity and obesity, involving modulation of meal size through feedback mechanisms. Vagus nerve can activate an inflammatory reflex that might help reduce inflammation linked to obesity and its metabolic issues (Figure 10, de Lartigue 2016 J Physiol).

How to Choose the Right Vagus Nerve Stimulation Device
Choosing the right vagus nerve stimulation (VNS) device involves considering several factors to ensure its effectiveness and safety:
- Evaluate medical device certification carefully: Avoid devices that rely solely on basic manufacturing certifications, such as the FCC certificate, without undergoing a clinical assessment of safety. Nurosym has been awarded a CE Mark in the EU and has been designated with FDA Non-Significant Risk in multiple studies.
- Never consider or recommend DIY electrical current devices for use on the nervous system: Untested electrical currents can harm nerves and worsen symptoms, potentially leading to irreversible damage. Nurosym includes over 2 million treatment sessions, with no reported serious adverse effects.
- Look for devices with regulatory approvals: Nurosym has demonstrated in clinical studies to stimulate the vagus nerve through a patented waveform that has been developed over 8 years of laboratory research with a total cost of over $10M.
- Device with solid scientific foundation: Parasym technology is the most studied non-invasive Vagus Nerve Stimulation Device on the market, with over 30 peer-reviewed research studies validating its effectiveness.
- Only randomised placebo controlled clinical studies can demonstrate whether a device benefit is independent of the placebo effect: Parasym's device has collaborated with 60+ research partners and has been proven to activate the parasympathetic nervous system over a placebo.
- Site of stimulation: Triggering nerve action potential safely requires precise control over vagus nerve stimulation, a feature that Nurosym provides by specifically targeting the left ear tragus where afferent nerves exclusive to that area facilitate activation of the parasympathetic nervous system. This targeted approach ensures optimal effectiveness throughout the entire nervous system. However, uncertified neck stimulation devices might inadvertently affect nearby nerves instead of the intended vagus nerve, leading to improper neural activation. This incorrect targeting can result in chronic nerve dysfunction that intensifies symptoms and poses a risk of health complications.
- Evaluate the device's features, such as its non-invasive nature, ease of use, and adjustability of stimulation parameters: In addition to safety, it is crucial to consider the efficacy of various devices. The fact that a device is delivering a safe electrical current is not enough, it also needs to demonstrate that it indeed stimulates the right nerves and makes them fire. In Nurosym, optimised stimulation parameters have been selected for maximum clinical benefits in multiple clinical trials in different clinical populations, confirmed in Randomised Double Blind Placebo Controlled Studies.
- Consider the device's compatibility with your lifestyle, as some are designed for portability and convenience: Nurosym allows one to engage in activities while experiencing therapy with an active and pleasant experience.
- Consult a healthcare professional to determine if VNS is appropriate for your specific medical condition: Certified tVNS is associated with minimal side effects, it is still recommended consulting a healthcare professional before starting a journey of vagus nerve stimulation. If you don’t have a doctor you could consult, contact the Parasym medical advisory team.
The Science Behind Vagus Nerve Stimulation
Tan C, Yan Q, et al. Recognizing the role of the vagus nerve in depression from microbiota-gut brain axis. 2022. Front Neurol 13:1015175. doi: 10.3389/fneur.2022.1015175.
Jiang Y, Yabluchanskiy A, et al.The role of age-associated autonomic dysfunction in inflammation and endothelial dysfunction. 2022. Geroscience. 44(6):2655-2670. doi: 10.1007/s11357-022-00616-1.
Woo MS, Shafiq M, et al. Vagus nerve inflammation contributes to dysautonomia in COVID-19. 2023. Acta Neuropathol.146(3):387-394. doi: 10.1007/s00401-023-02612-x.
Capilupi MJ, Kerath SM, Becker LB. Vagus Nerve Stimulation and the Cardiovascular System. 2020. Cold Spring Harb Perspect Med. 2020 10(2):a034173. doi: 10.1101/cshperspect.a034173.
Kim JS, Lee DE, et al. Effects of Vagus Nerve Stimulation on Sleep-Disordered Breathing, Daytime Sleepiness, and Sleep Quality in Patients With Drug-Resistant Epilepsy. 2022. J Clin Neurol. 18(3):315-322. doi: 10.3988/jcn.2022.18.3.315
Aniwattanapong D, List JJ, et al. Effect of Vagus Nerve Stimulation on Attention and Working Memory in Neuropsychiatric Disorders: A Systematic Review. Neuromodulation. 2022 Apr;25(3):343-355. doi: 10.1016/j.neurom.2021.11.009
Okonogi T, Kuga N, et al. Stress-induced vagal activity influences anxiety-relevant prefrontal and amygdala neuronal oscillations in male mice. 2024. Nat Commun 15:183. doi: 10.1038/s41467-023-44205-y.
Shivaswamy T, Souza RR, et al. Vagus Nerve Stimulation as a Treatment for Fear and Anxiety in Individuals with Autism Spectrum Disorder. 2022. J Psychiatr Brain Sci. 7(4):e220007. doi: 10.20900/jpbs.20220007.
Uarez AN, Hsu TM, et al. Gut vagal sensory signaling regulates hippocampus function through multi-order pathways. 2018. Nat Commun 9, 2181. doi: 10.1038/s41467-018-04639-1
Vargas-Caballero M, Warming H, et al. Vagus Nerve Stimulation as a Potential Therapy in Early Alzheimer's Disease: A Review. 2022. Front Hum Neurosci. 16:866434. doi: 10.3389/fnhum.2022.866434.
Kamel LY, Xiong W, et al. Vagus nerve stimulation: An update on a novel treatment for treatment-resistant depression. 2022. J Neurol Sci. 434:120171. doi: 10.1016/j.jns.2022.120171.